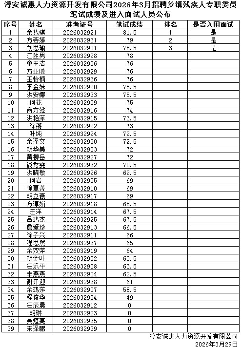
淳安诚惠人力资源开发有限公司2026年3月招聘乡镇残疾人专职委员笔试成绩及进入面试人员公布

招聘简章:现公开招聘工作人员,主要承担相关业务办理及日常事务处理等职责。报名时间为即日起至2026年3月31日,具体职位详情及要求请查阅原始公告。

访问原始公告查看完整名单

本网站所转载内容的源网站以及涉及的相关单位及个人信息的真实性、准确性和合法性均由发布网站所有者负责,本网站对此不承担任何保证责任,如有侵权的行为,请及时与客服联系,我们将立即删除并配合妥善处理。

(0)
小助手小助手
上一篇 2026 年 3 月 29 日 下午3:26
下一篇 2026 年 3 月 30 日 上午10:14

相关推荐

发表回复

您的邮箱地址不会被公开。 必填项已用 * 标注